Each lot of ALZET pumps is tested in ALZET LLC laboratories to determine the exact pumping rate and reservoir volume and to ensure accurate compound delivery.
These data are summarized and provided on the instructions found in each box of pumps as shown on the image to the right. The lot specific data listed on this label should always be used when making dose calculations. If using pumps from different lots, the drug concentration for each lot of pumps should be adjusted to reflect the actual release rate.
![]()
Typical of the series as a whole, Figure 1 and Figure 2 are examples of the release rate profiles for ALZET osmotic pump Models 1003D and 2002.
Figure 1. Model 1003D in vitro Pumping Rate (n=20)

Figure 2. Model 2002 in vitro Pumping Rate (n=20)

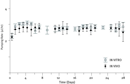
ALZET estimates the in vivo pumping rate of ALZET pumps by measuring their pumping rate in vitro in 0.9% saline at 37º C (+/- 0.5º C) using a concentrated solution of F.D. & C. Blue #1 dye. This in vitro testing method gives a good measure of reproducibility over time, both within pumps and between pumps, and allows an estimation of the pumping rate to be expected in homeothermic animals for which 0.9% saline is isotonic. For example, in rats and mice the mean pumping rates of subcutaneously or intraperitoneally implanted osmotic pumps are within 5% of the in vitro rate.
Figure 3. Model 2ML4 in vitro and in vivo Pumping Rate (n=105)

The average duration of pumping for a given lot of ALZET pumps can be estimated by dividing 95% of the average reservoir fill volume (µl) by the average pumping rate (µl/hr). This allows for a 5% residual volume which cannot be displaced from the pump. The average pumping rate and average fill volume as determined by in vitro testing are listed on the instruction sheet included with each package of osmotic pumps.
Each lot of ALZET pumps undergoes extensive testing in ALZET’s Quality Assurance laboratories. The actual release rate and fill volume determined from these tests is provided with each box of pumps ordered. These data allow researchers to achieve precise, predictable delivery and serve as a measure of pump accuracy and reliability.
Release Rate Profile
If an ALZET pump is loaded at room temperature (23º C) with a solution also at room temperature, and then placed in isotonic saline at 37º C, the pumping rate will not reach steady state for several hours. If your experiment requires immediate delivery, it is best to prime the filled pumps (see the Filling and Priming sections). After priming, each pump operates at a constant rate until about 95% of its volume has been delivered. The rate then falls rapidly to zero. From ALZET’s experience, the coefficient of variation of each pump’s infusion rate is less than 10%. The variation in the in vitro pumping rates among pumps on a given day and within a given pump across the duration of pumping appears on the instruction sheet included with each package of pumps.
If using the pumps in an environment other than 37º C, please use our ambient temperature calculator first, to obtain the adjusted flow rate for your pump model.